Кайтинговый форум самодельщиков WindPower
Форум творческих личностей, которые любят экстремальный спорт и могут сами сделать себе снарягу (кайт, виндсерфинг).

Начало » Сделай кайт » Самодельщики » Параски  () 4 голоса
Re: Параски [сообщение #23503 является ответом на сообщение #23502] Sun, 27 March 2011 01:42 Переход к предыдущему сообщенияПереход к следующему сообщения
Здесь был Traglod   
Сообщений: 1155
Зарегистрирован: March 2007
Гуру кайтостроения
Pass писал(а) Вск, 27 Март 2011 01:29


Смотрим видео от Violet, желательно в ю-тубе, находим время демонстрации 1.05 мин. Любуемся закрученными ушками фирменной канадской параски LX, приглашаем конструкторов Параскифлекс к нам на форум для тематического усовершенствования по проектированию парасок, чтоб не дискредитировали кайты.

Ох, как мы рады чужим косякам! Laughing Фирменные параски цепляют к стропам разного вида удлинители, поэтому не исключается легкое подворачивание, но как обычно тот, кто видит соринку в чужом глазу не видит бревнища в собственном. Настоящие завернутые уши выглядят вот так.
index.php/fa/9611/0/
  • Вложение: ushi.jpg
    (Размер: 23.32KB, Загружено 1726 раз)

[Обновления: Sun, 27 March 2011 10:09]

Известить модератора

Re: Параски [сообщение #23504 является ответом на сообщение #23503] Sun, 27 March 2011 01:59 Переход к предыдущему сообщенияПереход к следующему сообщения
Pass   
Сообщений: 7519
Зарегистрирован: June 2005
Географическое положение: Пригород Харь...
Гуру кайтостроения

[quote title=Traglodit писал(а) Вск, 27 Март 2011 01:42]
Pass писал(а) Вск, 27 Март 2011 01:29

Traglodit писал(а) Птн, 25 Март 2011 19:54

О как параски-эгрегор в ноосфере работает Laughing на оверповере внезапно темка соответствующая возникла Smile http://overpower.ru/forum/5-1186-1

Фирменные параски цепляют к стропам разного вида удлинители, поэтому не исключается легкое подворачивание, но как обычно тот, кто видит соринку в чужом глазу не видит бревнища в собственном. Настоящие завернутые уши выглядят вот так.
index.php/fa/9611/0/


Далеко не всем кайтерам удается так завернуть уши Пассата, поздравляю, тебе удалось. Ты бы еще фотки первых пассатов выложил, (могу предоставить) вот там действительно ушки были воронкой. Пока не изучили истинную причину их подворота и не подлечили простой настройкой стропной системы.

Но дело то не в бревнах и соринках, дело в соответствии гениальной в своей простоте теории с грубой и серой практикой. Исходя из теории, кстати, удлинители должны наоборот, выпрямлять крутку ушей, а не способствовать ей.....

Нормальная теория звучит примерно так. Перецентрованный назад кайт параски небольшого удлинения (F и R-серии) вообще не имел крутки ушей, но был более тупым по остроте хода, попытка сделать кайт острым и быстрым потребовала более передней центровки кайта (смещения товпойнт кпереди) и увеличения нагрузки на клеванты, чтои вызвало небольшую крутку ушей, но суммарно позволило получить кайт с нужными летно-эксплуатационными характеристиками.
Re: Параски [сообщение #23505 является ответом на сообщение #23467] Sun, 27 March 2011 04:47 Переход к предыдущему сообщенияПереход к следующему сообщения
Евгений Савкин   
Сообщений: 10
Зарегистрирован: January 2010
Географическое положение: Бийск
Новичок+
Шил по проекту Traglodita с 48 стр. из этой ветки - LX. Практически ничего не менял - отличается в десятых долях по площади и размаху. Шил заднюю кромку сразу - не проверяя. Попробую со стропами поиграться и по длине планку перенастраивать. Со стороны просто редко когда удаётся посмотреть - тогда косяки хорошо видно.index.php/fa/9612/0/
index.php/fa/9613/0/
  • Вложение: 053.jpg
    (Размер: 55.28KB, Загружено 1741 раз)
  • Вложение: 054.jpg
    (Размер: 42.54KB, Загружено 1704 раза)
Re: Параски [сообщение #23524 является ответом на сообщение #23505] Sun, 27 March 2011 10:04 Переход к предыдущему сообщенияПереход к следующему сообщения
Здесь был Traglod   
Сообщений: 1155
Зарегистрирован: March 2007
Гуру кайтостроения
Евгений Савкин писал(а) Вск, 27 Март 2011 04:47

Шил по проекту Traglodita с 48 стр. из этой ветки - LX. Практически ничего не менял - отличается в десятых долях по площади и размаху. Шил заднюю кромку сразу - не проверяя. Попробую со стропами поиграться и по длине планку перенастраивать. Со стороны просто редко когда удаётся посмотреть - тогда косяки хорошо видно.


Ну е-мое!! Laughing Я-то думал ты про другой проект. Тот на 48 странице просто тупой набросок, приглашал людей коллективно поразмыслить над ЛХ. Его в таком виде вообще никто не шил. Извини, моя вина, надо было написать там, что в таком виде шить не надо. Там просто воссозданы общие очертания с фото. Удивлен, что вообще летает. На этом проекте арка неправильная, профили на ушах не убраны, геометрия задней кромки неправильная, стропная вся неправильная, центральная группа не радиусы и к тому же там мануал те стоит, потому поправить сложно, выкройки съедут. Тогда я посмотрел на очередной чей-то пассатиж и взяла меня тоска, ну почему все уперлись в это и развития нет? Взял я тот самый проект пассатижа и подправил слегка под лх, без малейшего намека на истину, просто думал дать толчек развития темы. Потом выкладывал ещё проект, тот тоже с ошибками геометрии, но рабочий. Итоговый без ошибок(известных мне) выложен на 59 странице, называется Open source LX (тоже без претензии на истину, но с гарантией от уже сделанных ошибок и если его просто точно сделать - положительный результат будет гарантирован). Ну и после написал мануал, как не сделать ошибку, чтобы моя работа была не напрасна и люди не повторяли ошибки, которые уже сделаны.
Думаю имею на это право, так как в начале я купил у Пасса 2 кайта, по 300 баксов каждый, и даже не знал тогда ещё, что так быть не должно, прошел весь путь, как говорится, с нуля. Пытался выжать из пассата то, что он как потом оказалось в принципе не может. Тогда я начал его пытаться доводить, не имея проекта чисто пробами и ошибками. Кое-что мне удалось, устранил подворот каркаса при плюхах. Но все равно это изделие брал в руки все реже и реже. Ну и постепенно созрел. Не стал делать, как большинство - сказать "параски-гавно" и забить. Итогом поделился. Так что сделал все, чтобы кто-нибудь не повторил мой путь. Жалко потраченного времени, как оказалось нет ничего сложного в том, чтобы сделать нормальную параску. Был бы в то время кем-то написан такой мануал, может и не сглупил бы тогда с покупкой "пузырей" (со всеми последующими мытарствами) а решился пошить нормальный кайт.
В твоем случае к сожалению не получится исправить кайт до необходимой кондиции, можно только "подогнать под ответ", чтобы как-то приемлемо летал, возил.

[Обновления: Sun, 27 March 2011 13:16]

Известить модератора

Re: Параски [сообщение #23525 является ответом на сообщение #23504] Sun, 27 March 2011 10:16 Переход к предыдущему сообщенияПереход к следующему сообщения
Здесь был Traglod   
Сообщений: 1155
Зарегистрирован: March 2007
Гуру кайтостроения
Pass писал(а) Вск, 27 Март 2011 01:59



Далеко не всем кайтерам удается так завернуть уши Пассата, поздравляю, тебе удалось.

Угу, злой Траглодит специально их об коленку гнул и вообще все это фотомонтаж. Laughing Ну и насчет более тупых углов хода ф-серии и тем более р-форса, ХВАТИТ БРЕДИТЬ! Хуже угла хода, чем у раздутого пузыря быть и не может, разве что наса. Что толку, что я на твоем изделии мог ехать с хорошим геометрическим углом, апвинд при этом был НИКАКУЩИЙ. Пора уже тебе, спустя столько лет, просто посмотреть Правде в лицо. Вооружившись элементарным ЖПС-ом. И развеять собственные иллюзии. И прекратить вводить в заблуждение людей! Evil or Very Mad Как меня в свое время.

[Обновления: Sun, 27 March 2011 12:56]

Известить модератора

Re: Параски [сообщение #23532 является ответом на сообщение #3625] Mon, 28 March 2011 13:39 Переход к предыдущему сообщенияПереход к следующему сообщения
Здесь был Traglod   
Сообщений: 1155
Зарегистрирован: March 2007
Гуру кайтостроения
Вот пример поляры, это когда я первый раз ЛХ 8.5 в небо поднял с неправильными длинами строп, ездил, еле выживал, с направленным в небо кайтом. Ни о какой эффективности даже речи не шло. И что мы видим? Углы в районе 30 градусов есть и острее. Что, это круто? Да нифига подобного, это отвратительно! Борьба с передозом это. Не на угол надо смотреть, а на проекцию линейной скорости лавировочных галсов на направление ветра. Получится в районе 18 км/ч и лучше - значит нормально. Не получается - и нефиг углами тыкать.
Примечание: На приведенной поляре радиусы в узлах, 1 узел = 1.85 км/ч
index.php/fa/9614/0/
  • Вложение: Polar.jpg
    (Размер: 35.06KB, Загружено 1743 раза)

[Обновления: Mon, 28 March 2011 13:44]

Известить модератора

Re: Параски [сообщение #23533 является ответом на сообщение #3625] Mon, 28 March 2011 14:10 Переход к предыдущему сообщенияПереход к следующему сообщения
Здесь был Traglod   
Сообщений: 1155
Зарегистрирован: March 2007
Гуру кайтостроения
Пасс, назови, как конструктор, эффективный диапазон пассата, пассатижа, нового своего кайта. Эффективный диапазон это пределы ветра в которых апвинд 18 и лучше (для нормальной дороги и нормального кайта).
Предьявишь - будет о чем дальше разговаривать. Нет - ну и толку болтать попусту... Она поляра заменит тысячи слов.
Re: Параски [сообщение #23534 является ответом на сообщение #23532] Mon, 28 March 2011 14:40 Переход к предыдущему сообщенияПереход к следующему сообщения
Rave_n   
Сообщений: 622
Зарегистрирован: December 2007
Географическое положение: Ленинградска�...
Гуру кайтостроения
Решил написать статью с подробным, насколько смогу, описанием процесса шитья кайта параски. Эта статья не претендует на абсолютность, но все же те приемы о которых я буду говорить- правильные, и выполняя их, мы получим максимально качественно пошитый кайт. Начнем с проекта... и так мы выбрали или спроектировали кайт и теперь наша задача подготовить выкройки нашего крыла. Открываем сюрфплан. Идем в пункт меню «файл», выбираем пункт Print, выбираем наш принтер, ставим формат бумаги (А4 обычно), ориентация книжная, ОК. Идем в меню File -> print preview . В появившемся окне нам предлогают задать настройки того что выводить на печать и как это будет выглядеть. Первая галка Stats page это общая информация о кайте (площадь, удлинение, хорда....), то что показано на форме Kite Sizing. Пункт Model view нам уже знаком. Bridle Dimensions расстроповка купола. Page layout- общая компоновка выкроек. Print plan- сами выкройки разбитые по листам. Ставим на этих пунктах галочки. У пункта Print plan есть поле выбора. выбираем Separate. Остальные значения обязательно ставим как на картинке.
index.php/fa/9615/0/
Жмем ОК. теперь можно посмотреть как будут выглядеть листы выкроек , посмотреть сколько листов нам нужно.
Жмем Print., оставляем настройки как на картинке, нажимаем ок. выбираем нужный принтер. Печатаем.
Каждый лист пронумерован следующим образом: Page (номер страницы) of (из общего числа стр) x, y =(№ колонки), (№ ряда).
Каждый лист по краям имеет уголки, по которым нужно совмещать листы друг с другом. Обращаю внимание на то что если на этапе выкроек мы накосячим, сделаем их неправильно, то вся последующая работа будет не качественна. Все ошибки накапливаются. Поэтому ложим смежные листы друг на друга, совмещаем смежные уголки и прихватываем из скотчем, я использую для этого диспенсер. Совмещаем уголок- прихватываем короткой полоской скотча. Совмещаем второй- прихватили.. и так все 4 уголка. После этого можно проклеить все линии целеком скотчем (я просто склеивал листы частями, там где нужно).
index.php/fa/9616/0/
Красная линия на выйкройке это линия припуска на шов, черная с точечками- линия шва. Наличие точек на выкройках ОБЯЗАТЕЛЬНО (если настройки сделали как на картинке, то они должны быть). Припуск на шов нам не нужен, поэтому будем обрезать панели по черной линии, но прежде, возьмем карандаш и обозначим точки рисками (т.к. после обрезки часть точки будет срезано и чтобы эти точки не пропустить случайно).
Итак, все панели вырезаны, теперь определимся с карманом для каркаса. Для этого возьмем тот каркас что будем использовать на кайте. Измерим максимальный диаметр каркаса (допустим каркас 6 мм., коннектор 10мм, берем 10мм ). Высчитаем длину дуги l=3.14*d и прибавим к нему 5-7 мм для того чтобы каркас легко входил в карман. Например, если наш коннектор диаметром 10мм, то карман будет 3,14*10 +5=37мм. Теперь оставим отпуск на шов с двух сторон по 10 мм. Итого наш карман будет иметь ширину 10+37+10=57мм.
index.php/fa/9617/0/
Теперь определимся с карманом. Есть несколько способов его шитья. О всех тонкостях пошива по этим способам позже, а пока вкратце.
1 способ.
Мы уменьшаем кромку кайта на величину ширины кармана. (это можно сделать сразу на выкройке, а можно позже на полотне, когда оно будет сшито).
Теперь высчитаем сколько нужно срезать с переда кайта чтобы учесть карман:
index.php/fa/9618/0/
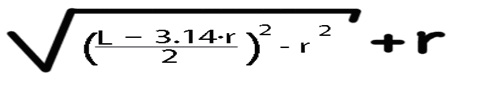
L- длина кармана; r- Радиус каркаса
Из нашего примера получаем корень из (13.8 в квадрате- 3 в квадрате) и + 3= 16,5мм

На каждой панели кайта есть надписи, обозначающие переднюю и заднюю кромки: LE и TE соответственно. Каждую панель уменьшаем со стороны LE на величину расчитаного каркама (16мм).
index.php/fa/9619/0/
2 способ.
Ничего от кайта не срезаем, а шьем внахлест. Об этом позже.
------------------------------------------------------------ ------------------

Все. Теперь можем приступать к кройке. Стелим ткань на ровную поверхность ложим выкройку без складок и волн, прижимаем книгами, и обводим контур выкроек (я использовал для этого маркер для дисков, он тонко пишет), отмечая ВСЕ ТОЧКИ. Распологая панели не забываем о том что с каждой стороны кроме LE, нам надо будет оставить 10 мм на шов. Далее берем выжигатель или паяльник и на равном (я для этого сделал на выжигателе проволочку на расстоянии в 10 мм от жала, для контроля) обрезаем им по контуру. Резать ножницами не стоит, т.к. ткань может пушиться на крае.
Приступаем к сшиванию панелей.
Я шью Иглой №95 (можно и №80) нитками 45лл, раньше шил трилобал полиэстером, но их не найти. 45 лл прекрасные нитки и есть в каждом магазине. Пару слов по выбору ткани для кайта. Главный кретерий- это чтобы она не дулась. Как это проверить: прикладываем такань к губам и вдыхаем воздух в себя. Хорошая тряпка не должна пропускать воздух, или совсем чуть-чуть. Вторым кретерием для тряпки кайта- это малое растяжение по диагонали волокон, для параски вообще требуется ткани парусные, они почти не тянутся ни в каких направлениях. Очень неплохие ткани спинакерные (как раз они же парусные), очень хорошая ткань гельвинор, она хоть и тянется по диагонали, зато полностью восстанавливает свою форму, как бы резиновая. Плотность ткани от 40-60 г/кВ.м. Для кармана нужна ткань плотная, чтобы не сшеркивалась о поверхность земли или наста, и должна не тянуться. Для этого очень подходят дакроновые ткани плотностями от 100- 250 г/квм.
Начинаем шить.Для этого запасаемся булавками (не английскими только), соединяем смежные точки двух панелей и скрепляем. Помните, что у каждой точки есть своя пара и точность позиционирования панелей относительно друг друга- залог точного профиля кайта, так как в проекте.
Шьем посередине линии с точками прямо поверх булавок. Настираиваем машинку на самый широкий 4-х точечный зигзаг. Обращаю внимание что нужен именно такой. Потому как простой шов пунктиром не подходит, он недержит растяжения вдоль. Простой 2-х точечный зигзаг не держит растягиваний полотен поперек шва.
index.php/fa/9620/0/
Потом пришивает припуски на шов тем же зигзагом. Получаем 3 шва
index.php/fa/9621/0/
Полотна сшиты. Приступаем к задней кромке.
Для этого берем стропу или ленту дакрона (главный кретерий выбора материала- отсутствие растяжения) и пускаем ее по ТЕ. Прошиваем зигзагом подгибая припуск на шов на кайте. Концы этой ленты должны выходить петлями. К ним будут цепляться клеванты. Вот так сделано у меня.
index.php/fa/9622/0/
Зеленое- это кембрик термоусадки, чтобы не протерлась стропа о землю.
Пришиваем боуты. Усиливаем уши. См фото выше, боуты это треугольники из плотного материала, дакрон или абс пластик... у меня сделан из дакрона. 4-ре слоя разной длины. Сшиты между собой и пришиты к кайту.
Приступаем к карману.
Если шьем по первому варианту, то готовим карман. Режем материал на ленты нужной рассчитанной ширины. Требование к материалу кармана- не тянется. Я пустил плотный дакрон. На первом кайте использовал кордуру 1000д. не понравилась. При намокании тянется и значительно.
В местах между панелями нужно усилить карман слоем плотной ткани (это делается для того чтобы усилить отверстие для стропы. Усиления пришиваются к ленте кармана по периметру).
Отступаем от края ленты некоторое расстояние для запаса, измеряем на выкройке длину ЛЕ и откладывая на ленте кармана эти расстояния пришиваем усиления (усиления эти надо делать не короткие, чтобы при сшивании мы стыками панелей попали в них)
index.php/fa/9623/0/
Серое- это вставка усиления.
Складываем ленту пополам и сшиваем по линии шва простой строчкой. Я использовал спец насадку на машинку, позволяющую выставить нужный отступ
index.php/fa/9624/0/
Затем, если мы уже учли карман на полотне крыла, пришиваем карман. Вставляя полотно кайта между отступами на шов кармана. Шьем тем же зигзагом в 4-ре укола.

Если выбрали вариант 2-й. (Следует отметить что этот способ имеет недостаток: лента прямая, а ЛЕ дугой, без морщин пришить будет крайне сложно, это может привести к скручиванию кармана в спираль. Чем плотнее карман и меньше радиус ЛЕ, тем сложнее таким способом будет пришивать).
Делим ленту кармана пополам, к этой линии середки кармана прикладываем полотно кайта и пришиваем его. Затем пришиваем усиления к местам крепления строп. Складываем пришитую ленту кармана пополам и пришиваем.
Карман пришит. Осталось решить каким способом будем крепить каркас в нем.
Есть два способа.
1-й не очень практичный. Карман наглухо прошит с двух сторон. В каждый конец вставлена резиновая или пластиковая глухая трубка (чтобы каркас упирался не в ткань кармана, а в закрытый торец трубки) небольшой длины 1,5-2 см.
Радом с краем трубки сделано отверстие для вставки каркаса
  • Вложение: 1.jpg
    (Размер: 152.01KB, Загружено 1813 раз)
  • Вложение: 2.jpg
    (Размер: 45.77KB, Загружено 1832 раза)
  • Вложение: 3.jpg
    (Размер: 29.05KB, Загружено 1782 раза)
  • Вложение: 4.jpg
    (Размер: 21.53KB, Загружено 1809 раз)
  • Вложение: 5.jpg
    (Размер: 58.56KB, Загружено 1779 раз)
  • Вложение: 6.jpg
    (Размер: 102.08KB, Загружено 1798 раз)
  • Вложение: 7.jpg
    (Размер: 80.50KB, Загружено 1772 раза)
  • Вложение: 8.jpg
    (Размер: 90.51KB, Загружено 1723 раза)
  • Вложение: 9.jpg
    (Размер: 21.90KB, Загружено 1778 раз)
  • Вложение: 10.jpg
    (Размер: 63.53KB, Загружено 1765 раз)


Движущая сила человечества — дух творческой неудовлетворенности

[Обновления: Mon, 28 March 2011 23:54]

Известить модератора

Re: Параски [сообщение #23535 является ответом на сообщение #23534] Mon, 28 March 2011 14:46 Переход к предыдущему сообщенияПереход к следующему сообщения
Rave_n   
Сообщений: 622
Зарегистрирован: December 2007
Географическое положение: Ленинградска�...
Гуру кайтостроения
..... продолжение
index.php/fa/9629/0/
Недостаток. Если сделать отверстие кармана далеко от края, то надо будет очень сильно натянуть карман, чтобы вставить каркас. Поэтому есть второй способ.
2-й способ:
Один край кармана мы запечатываем, вставляя кусок наглухо зашитой трубки.
Ко второму краю пришить липучку, усилить место, непосредственно контачащее с краем каркаса, абс пластиком... к верхней части кармана пришить ленту с липучкой.
index.php/fa/9630/0/
Приступаем к прожигу отверстий под стропы первого яруса.
index.php/fa/9631/0/
Раскаляем гвоздь на газу и прожигаем в соответствующих местах.

Строповка.
На распечатаном проекте нас интересует страница bridle dimention
Вот так нумерует сюрф строповку
index.php/fa/9632/0/
Не забываем что если мы шьем проект лх, то для строповки есть два файла. С одного мы берем стропы 1,2,3,6, со второго все заместо 4,5,7.
Заметим что стропы прога высчитала от крайней точки ЛЕ и не учитывает ни петли ни узлы.
index.php/fa/9633/0/
пришиваем хвостики к петле, чтобы проще было освобождать удавку
index.php/fa/9634/0/
Мерить первый ярус надо от каркаса до узла как на фото, для первого яруса можно вместо узла петлю сделать. У каркаса обязательно удавку!
index.php/fa/9635/0/
Тогда первый ярус будет сходиться петлями в петлю промежуточного 2-го яруса
index.php/fa/9636/0/
Думаю на этом все. Надеюсь это статья многим самодельщикам будет в помощь.
  • Вложение: 8.jpg
    (Размер: 90.51KB, Загружено 1791 раз)
  • Вложение: 11.jpg
    (Размер: 74.34KB, Загружено 1778 раз)
  • Вложение: 12.jpg
    (Размер: 101.92KB, Загружено 1852 раза)
  • Вложение: 13.jpg
    (Размер: 69.90KB, Загружено 1824 раза)
  • Вложение: 14.jpg
    (Размер: 92.84KB, Загружено 1777 раз)
  • Вложение: 15.jpg
    (Размер: 51.81KB, Загружено 1822 раза)
  • Вложение: 16.jpg
    (Размер: 66.86KB, Загружено 1863 раза)
  • Вложение: 17.jpg
    (Размер: 40.79KB, Загружено 1828 раз)


Движущая сила человечества — дух творческой неудовлетворенности
Re: Параски [сообщение #23540 является ответом на сообщение #23532] Mon, 28 March 2011 15:44 Переход к предыдущему сообщенияПереход к следующему сообщения
Здесь был Traglod   
Сообщений: 1155
Зарегистрирован: March 2007
Гуру кайтостроения
Traglodit писал(а) Пнд, 28 Март 2011 13:39
Вот пример поляры, это когда я первый раз ЛХ 8.5 в небо поднял с неправильными длинами строп, ездил, еле выживал, с направленным в небо кайтом. Ни о какой эффективности даже речи не шло......

Вот видео того дня:


Видно, что ни о какой эффективности речи нет. Видно, что езда напряжная.

[Обновления: Mon, 28 March 2011 15:58]

Известить модератора

Re: Параски [сообщение #23542 является ответом на сообщение #23540] Mon, 28 March 2011 15:47 Переход к предыдущему сообщенияПереход к следующему сообщения
Ali   
Сообщений: 423
Зарегистрирован: June 2004
Географическое положение: Харьков
Гуру кайтостроения
Администратор

Ролики Youtube (немного неудобно пока), но уже можно вставлять в сообщения. Как сделать написал тут
http:// www.kiting.org.ua/forum/index.php/mv/msg/728/23530/#msg_2353 0

Позже добавлю кнопку в редакторе...
Re: Параски [сообщение #23545 является ответом на сообщение #23542] Mon, 28 March 2011 15:55 Переход к предыдущему сообщенияПереход к следующему сообщения
Здесь был Traglod   
Сообщений: 1155
Зарегистрирован: March 2007
Гуру кайтостроения
Ali писал(а) Пнд, 28 Март 2011 15:47
Ролики Youtube (немного неудобно пока), но уже можно вставлять в сообщения. Как сделать написал тут
http:// www.kiting.org.ua/forum/index.php/mv/msg/728/23530/#msg_2353 0

Позже добавлю кнопку в редакторе...

Алексей, это круто! Благодарю.
А полосу прокрутки в проигрывателе никак не порешить?
Сделай ещё плиз в разрешенных расширениях gpx.
Re: Параски [сообщение #23546 является ответом на сообщение #23545] Mon, 28 March 2011 16:02 Переход к предыдущему сообщенияПереход к следующему сообщения
Ali   
Сообщений: 423
Зарегистрирован: June 2004
Географическое положение: Харьков
Гуру кайтостроения
Администратор

Traglodit писал(а) Пнд, 28 Март 2011 15:55

Алексей, это круто! Благодарю.
А полосу прокрутки в проигрывателе никак не порешить?
Сделай ещё плиз в разрешенных расширениях gpx.

А что за полоса? В смысле управление? Нет весь ролик напрямую с youtube грузится, в любом случае там же есть режим на весь экран.
Расширение добавлю...

[Обновления: Mon, 28 March 2011 16:02]

Известить модератора

Re: Параски [сообщение #23547 является ответом на сообщение #23535] Mon, 28 March 2011 16:14 Переход к предыдущему сообщенияПереход к следующему сообщения
V0id   Russian Federation
Сообщений: 229
Зарегистрирован: December 2009
Географическое положение: СПб
Самодельщик со стажем
Rave_n, отличные картинки, будет время исправлю по этому ману пару косяков в ушах своей параськи. Кстати за неимением трехточечного зигзага шил двумя прямыми строчками, никаких проблем во время эксплуатации не замечено. Вообще проблема прямых строчек в том что любая ткань тянется (особенно по диагонали). Если направление стяжков совпадет с растяжением то нитки не выдержат. Зигзагу подобное не страшно, а трехточечный зигзаг крепче изза того что дырок-соединителей в 3 раза больше. В параске расяжение идет перпендикулярно шву, поэтому можно шить и прямым швом. В качестве кармана использовал корсажную ленту, она есть во всех швейных магазинах.

Хуже большого кайта в передоз может быть только маленький кайт в передоз.

[Обновления: Mon, 28 March 2011 16:16]

Известить модератора

Re: Параски [сообщение #23548 является ответом на сообщение #23546] Mon, 28 March 2011 16:15 Переход к предыдущему сообщенияПереход к следующему сообщения
Здесь был Traglod   
Сообщений: 1155
Зарегистрирован: March 2007
Гуру кайтостроения
Ali писал(а) Пнд, 28 Март 2011 16:02

А что за полоса? В смысле управление? Нет весь ролик напрямую с youtube грузится, в любом случае там же есть режим на весь экран.
Расширение добавлю...

Это я прогнал, страницу смасштабировал в опере под экран, из за большой картинки сверху и видеоокно у меня поджало, появился скроллинг справа. Так что все путём.

[Обновления: Mon, 28 March 2011 16:15]

Известить модератора

Re: Параски [сообщение #23576 является ответом на сообщение #23525] Tue, 29 March 2011 00:16 Переход к предыдущему сообщенияПереход к следующему сообщения
Pass   
Сообщений: 7519
Зарегистрирован: June 2005
Географическое положение: Пригород Харь...
Гуру кайтостроения

Traglodit писал(а) Вск, 27 Март 2011 10:16

Хуже угла хода, чем у раздутого пузыря быть и не может, разве что наса. Что толку, что я на твоем изделии мог ехать с хорошим геометрическим углом, апвинд при этом был НИКАКУЩИЙ. Пора уже тебе, спустя столько лет, просто посмотреть Правде в лицо. Вооружившись элементарным ЖПС-ом. И развеять собственные иллюзии. И прекратить вводить в заблуждение людей! Evil or Very Mad Как меня в свое время.



За такие предьявы у нормальных пацанов предполагается отвечать, поэтому очень хочу увидеть примеры того как я вводил тебя в заблуждение, обязательно моими цитатами с указанием откуда они взяты.

"Что толку, что я на твоем изделии мог ехать с хорошим геометрическим углом, апвинд при этом был НИКАКУЩИЙ."

Толк зависел от тебя, апвинд оптимален на оптимальном угле хода к ветру, а не на максимально остром, если у тебя не хватает ума это понять я не виноват. Хороший геометрический угол на "раздутом пузыре" давал тебе свободу выбрать этот угол хода.

А вообще если тебе хочется поговорить о достоинствах и недостатках каркасников, ты отлично знаешь адреса парочки местных для тебя сайтов, на которых тебя с удовольствием выслушают и покажут направление движения. Там и поупражняйся.

С обсуждения твоего, выставленного на всеобщее обозрение руководства по проектированию суперкайта ты сумел перейти на обсуждение кайта Пассат и моей личности...... Чем превращаешь достаточно читаемую ветку популярного сайта в обычный балаган...
Заведи тему типа "Я И МОИ КАЙТЫ" и изголяйся там, если соберешь аудиторию.

Удачи !!!

[Обновления: Tue, 29 March 2011 00:39]

Известить модератора

Re: Параски [сообщение #23586 является ответом на сообщение #23576] Tue, 29 March 2011 07:07 Переход к предыдущему сообщенияПереход к следующему сообщения
Здесь был Traglod   
Сообщений: 1155
Зарегистрирован: March 2007
Гуру кайтостроения
Pass писал(а) Втр, 29 Март 2011 00:16

За такие предьявы у нормальных пацанов предполагается отвечать, поэтому очень хочу увидеть примеры того как я вводил тебя в заблуждение, обязательно моими цитатами с указанием откуда они взяты.

Ты знаешь прекрасно о чем я, и не надо меня провоцировать на поиски каких-то цитат, сам поищи, раз забыл. Smile Пацанов... Smile советую узнать смысл этого слова.
Цитата:
генерал Соломон Абрамович Коган, отрывок
borzoi.dvo.ru/elib/klimg002/00000024.htm

- Все вы знаете слово «пацан», то есть мальчишка. А кто знает происхождение этого слова? Как и многие жаргонные словечки, слово «пацан» происходит от еврейского жаргона, от слова «потц», то есть «х...», а отсюда маленький «потцен» - пацан.


Цитата:
"Что толку, что я на твоем изделии мог ехать с хорошим геометрическим углом, апвинд при этом был НИКАКУЩИЙ."

Толк зависел от тебя, апвинд оптимален на оптимальном угле хода к ветру, а не на максимально остром, если у тебя не хватает ума это понять я не виноват. Хороший геометрический угол на "раздутом пузыре" давал тебе свободу выбрать этот угол хода.

Это у тебя не хватает ума понять, что на теоретически оптимальном углу твое изделие тупо дозит, и принуждает ехать неэффективно остро, либо оттормаживать. А ещё и вывернуться норовит.
Цитата:

А вообще если тебе хочется поговорить о достоинствах и недостатках каркасников, ты отлично знаешь адреса парочки местных для тебя сайтов, на которых тебя с удовольствием выслушают и покажут направление движения. Там и поупражняйся.
Я не говорю о вообще каких-то каркасниках, если ты заметил все конкретно.

Цитата:

С обсуждения твоего, выставленного на всеобщее обозрение руководства по проектированию суперкайта ты сумел перейти на обсуждение кайта Пассат и моей личности...... Чем превращаешь достаточно читаемую ветку популярного сайта в обычный балаган...
Заведи тему типа "Я И МОИ КАЙТЫ" и изголяйся там, если соберешь аудиторию.

О, как повернул. Неправильное проектирование кайтов насколько я понимаю не относится к личности, относится лишь к неумению проектировать кайты. Здесь как раз тематический форум по проектированию этих самых кайтов. Так что все в масть. Если что-то не нравится - поищи причину в себе. Или хотя бы прочитай мои посты так, чтобы не злиться, а понять что я хотел сказать. Ну а про тему "Я и мои кайты" это сильно! Laughing Как говорится проговариваемся помаленьку Laughing То, что ты видишь - это видишь ТЫ. И оно является тем , чем оно для тебя является, именно для ТЕБЯ.
И это... хватит уже дурью маяться. Я надеялся ты перестанешь после моего ответа Картузу, нет же приходится писать прямо - "Пасс, завязываем." Если выложишь поляры, а лучше треки в gpx - будет хорошо, это будет весомый ответ разом на все вопросы.
Как желчь остынет - попробуй спроектировать кайт в точности по моему изложению и испытай его. Раз ты производишь и собираешься дальше производить кайты, то это практически твоя обязанность, забить на амбиции и проверить.

[Обновления: Tue, 29 March 2011 09:23]

Известить модератора

Re: Параски [сообщение #23596 является ответом на сообщение #3625] Tue, 29 March 2011 09:52 Переход к предыдущему сообщенияПереход к следующему сообщения
Здесь был Traglod   
Сообщений: 1155
Зарегистрирован: March 2007
Гуру кайтостроения
Если ты не в состоянии сам грамотно оценить свои изделия, по разным возможным причинам, обратись например к Алексею Охотникову, он имеет мнение по канадской параски, сможет сравнить с твоей.
Вот, что он пишет про канадку на оверповере :
Цитата:
мечатл попробовать живьём с 2005 года. В 2005м канадцы на виссе не дали покататься. Типа тайна. Потом видел кучу самоделок -не летели как хочется.
В Риге пробовал серийную, но ветра было 4 м/с - не летела.
А вот сейчас в финке наконец-то попробовал настоящую параську в сильный ветер.
Забавный агрегат надо сказать! Очень безопасна, проста и не напрягает. Могут даже дети кататься лет в 5-6ть.
Реально мечта рыбака.

http://overpower.ru/forum/5-1186-1

[Обновления: Tue, 29 March 2011 09:56]

Известить модератора

Re: Параски [сообщение #23598 является ответом на сообщение #23596] Tue, 29 March 2011 10:27 Переход к предыдущему сообщенияПереход к следующему сообщения
Pass   
Сообщений: 7519
Зарегистрирован: June 2005
Географическое положение: Пригород Харь...
Гуру кайтостроения

Ты продолжаешь все тот же балаган!!!

Что мне делать, какие кайты проектировать, шить и что продавать, кого приглашать в эксперты, какие данные и где выкладывать я как-нибудь разберусь и без тебя.

Вместо базара ты бы лучше аэродинамически обосновал свой "Псевдо ЛХ". Рассказал почему выбрал такое удлинение, толщину профиля и распределение по крылу, углы атаки, арочность, что можно получить из такого пректа, (например увеличив его для слабых ветров, почему и как рассчитываются чисто графически вещи, которые должны быть привязаны к аэрдинамике и т.д.

Пользы от этого было бы на порядок больше, и может и получил бы тогда исключительное звание
"Гений кайтостроения!"

Смотрим видик Траглодита, внимательно вглядываемся на отметке времени 3.20 и дальше. Видим неслабо закрученные уши при небольшой затяжке заднего края планки.
Это результат ошибки в строповке или закономерность распределения нагрузки?
Удалось ли исправить эту схожесть с отстойными кайтами исправлением строповки?

[Обновления: Tue, 29 March 2011 11:19]

Известить модератора

Re: Параски [сообщение #23599 является ответом на сообщение #23598] Tue, 29 March 2011 10:46 Переход к предыдущему сообщенияПереход к предыдущему сообщения
Rave_n   
Сообщений: 622
Зарегистрирован: December 2007
Географическое положение: Ленинградска�...
Гуру кайтостроения
вы бы в личку писали все это. что другим ваши отношения читать? Остановитесь на том что у каждого свое ИМХО.

Движущая сила человечества — дух творческой неудовлетворенности
Предыдущая тема: Меряем ветер (анемометры)
Следующая тема: Навигация по форуму kiting.org.ua
Переход к форуму:
  


Текущее время: Mon Feb 02 11:53:09 EET 2026